If you are preparing for the NDA exam, you already know that Mathematics is a game-changer. Among all the topics, Calculus holds a special place. It might look scary at first with all those derivatives, integrals, and limits, but trust me, once you know the formulas, half the battle is won.
In this blog, we will go through all the important calculus formulas you will need for the NDA exam. The idea is to keep things simple, so you can quickly revise without feeling overwhelmed.
Why is calculus important for NDA?
The NDA maths paper tests your ability to apply concepts rather than just memorise them. Calculus questions are often direct formula-based or application-based. If you know the formula and how to use it, you can score easy marks. That’s why having a list handy is helpful.
Differential Calculus Formulas
Differential calculus deals with derivatives (rate of change).
1. Derivatives of Basic Functions

2. Trigonometric Functions
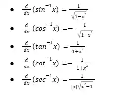
3. Inverse Trigonometric Functions

4. Rules of Differentiation

Integral Calculus Formulas
Integral calculus is about finding areas and the reverse of derivatives.
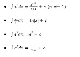
1. Basic Integrals

2. Trigonometric Integrals

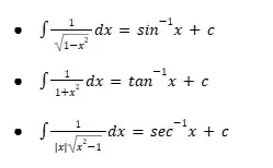
3. Inverse Trigonometric Integrals

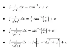
4. Some Standard Integrals

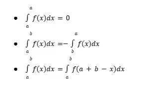
5. Properties of Definite Integrals

Final Tips for NDA Students
- Don’t just memorise formulas, practice applying them in problems.
- Revise calculus formulas regularly (make a small formula notebook).
- Focus on shortcuts and properties of definite integrals; they often save time in the exam.
Remember, Calculus is not about mugging up, it’s about recognising patterns. Once you get the hang of it, you’ll find it surprisingly scoring in the NDA exam.
Read more:
List of All Physics Formulas - Basic and Advanced for NDA Exam Preparation
List of Important Chemistry Chemical Compounds for NDA and CDS Exam
 
                                 
                            
 
         
         
         
         
        

 
             
             
             
             
             
             
             
             
             
             
             
            